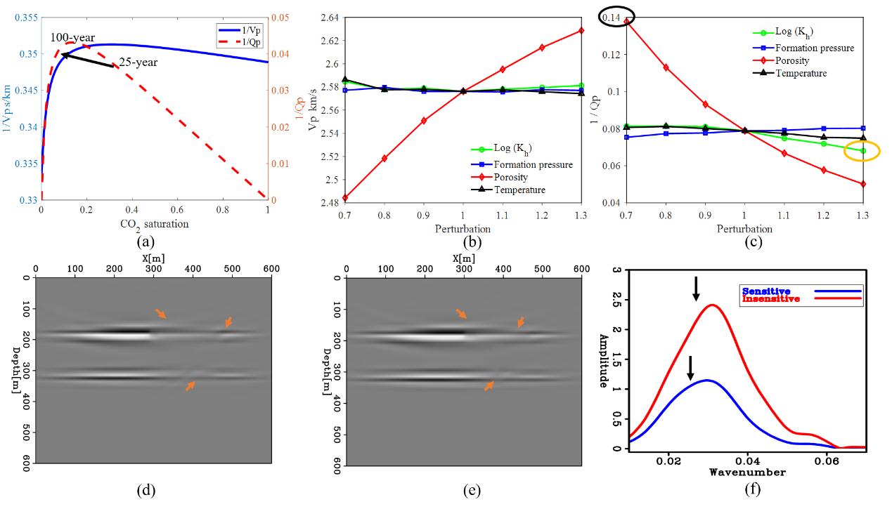
近年来,地质封存被广泛认为是减少大气CO2浓度的有效途径,其中深部咸水层因具备巨大储存潜力和广泛分布,被视为理想的封存场所。然而,为确保其长期安全性,亟需深入理解储层物性及其对CO2运移的影响。为此,开展CO2饱和度与纵波速度(Vp)、衰减(Qp)的敏感性分析,有助于揭示关键参数对封存过程的控制作用;同时,时移(4D)地震监测可有效追踪CO2分布,评估储层完整性,为CO2封存的安全监测提供重要支撑。为此,研究团队针对CO2地质封存过程中储层岩石物理与地震响应的动态变化特征,选取油藏模拟时的四个关键参数(渗透率、孔隙度、地层压力和温度),分别对这四个关键参数与CO2饱和度进行敏感性分析。基于岩石物理理论,建立了CO2饱和度与地震属性Vp和Qp之间的关系,最终从这四个关键参数中选取出对Vp和Qp最敏感的参数。继而基于黏声波动方程生成时移地震数据,最后进行逆时偏移成像。研究结果表明:温度升高和渗透率增大显著促进CO2羽流的横向运移速度,缩短其穿越断层的时间;而高孔隙度和高形成压力则在一定程度上抑制迁移速率。地震响应方面,CO2饱和度的增加导致纵波速度降低,衰减增加。敏感性分析进一步揭示,渗透率是对CO2饱和度变化最为敏感的控制参数,其次为温度和孔隙度。该结果为CO2封存项目的地震监测方案设计、关键参数优选及长期封存安全性评估提供了理论依据和数据支持。
图1.(a) CO2饱和度与1/Vp及1/Qp之间的关系;(b) Vp和(c) 1/Qp对影响因素的敏感性; (d) 对速度、衰减敏感的岩石物理参数逆时偏移成像结果;(e) 对速度、衰减不敏感的岩石物理参数逆时偏移成像结果;(f) 敏感与不敏感参数的频谱变化
研究成果近期发表在地学领域国际重要期刊Petroleum Science。论文第一作者是中国石油大学(华东) 地震波传播与成像课题组博士生董艳娇,通讯作者为沈奕教授。本研究得到海洋油气高效开发全国重点实验室第六批开放基金(海油)、国家自然科学基金等项目的资助。
论文信息:Dong Y J, Shen Y, Guo K, et al. Characterization of petrophysical and seismic properties for CO2 storage with sensitivity analysis[J]. Petroleum Science, 2025, 22(1): 193-209. https://doi.org/10.1016/j.petsci.2024.07.011.
